| Welcome to Carnivora. We hope you enjoy your visit. You're currently viewing our forum as a guest. This means you are limited to certain areas of the board and there are some features you can't use. If you join our community, you'll be able to access member-only sections, and use many member-only features such as customizing your profile and voting in polls. Registration is simple, fast, and completely free. Join our community! If you're already a member please log in to your account to access all of our features: |
| Dinosaurs - warm or cold blooded? | |
|---|---|
| Tweet Topic Started: Jan 26 2013, 11:18 PM (4,224 Views) | |
| Varanus | Jan 26 2013, 11:18 PM Post #1 |
|
Autotrophic Organism
![]() ![]() ![]() ![]()
|
I understand that dinosaurs were warm-blooded for various reasons cited by Robert T Baker. Any reason to doubt him?
Edited by Varanus, Jan 26 2013, 11:18 PM.
|
![]() |
|
| SpinoInWonderland | Jan 26 2013, 11:25 PM Post #2 |
|
The madness has come back...
![]() ![]() ![]() ![]() ![]() ![]() ![]() ![]() ![]() ![]()
|
There are none right now... |
![]() |
|
| theropod | Jan 27 2013, 03:58 AM Post #3 |
|
palaeontology, open source and survival enthusiast
![]() ![]() ![]() ![]() ![]() ![]() ![]() ![]() ![]() ![]()
|
None as far as I know. In fact, I have never read any scientist doing so recently. But endothermy is not always the same, it seems large dinosaurs where more energy-efficient than mammals, while still not comparable to ectotherms. |
![]() |
|
| JD-man | Jan 27 2013, 10:36 AM Post #4 |
|
Autotrophic Organism
![]() ![]() ![]() ![]()
|
There's no doubt that non-avian dinos were more endothermic (I.e. Warm-blooded) than living non-avian reptiles. The question is how endothermic were they? As indicated by the following quote, non-maniraptoran dinos were probably mesothermic & non-avian maniraptorans were apparently endothermic. Quoting McWhorter ( http://www.booksandculture.com/articles/2010/janfeb/reanimation.html?paging=off ):
Edited by JD-man, Jan 27 2013, 10:37 AM.
|
![]() |
|
| Ausar | Jan 27 2013, 11:03 AM Post #5 |
|
Xi-miqa-can! Xi-miqa-can! Xi-miqa-can!
![]() ![]() ![]() ![]() ![]() ![]() ![]() ![]() ![]() ![]()
|
I've heard that a handful of dinosaurs MAY have been ectothermic (cold-blooded). I think it was Brachiosaurus and Ankylosaurus, but evidence is pointing to the fact that they were endothermic (warm-blooded). It angers me whenever books, TV shows, and movies say they were cold-blooded.
Edited by Ausar, Jan 27 2013, 11:04 AM.
|
![]() |
|
| MightyMaus | Jan 27 2013, 11:53 AM Post #6 |
![]()
Autotrophic Organism
![]() ![]() ![]() ![]()
|
Pretty much all mainstream scientists think dinos were warm blooded. |
![]() |
|
| Varanus | Jan 27 2013, 12:02 PM Post #7 |
|
Autotrophic Organism
![]() ![]() ![]() ![]()
|
Where does this leave Elephants? How about whales? |
![]() |
|
| Jinfengopteryx | Jan 27 2013, 09:03 PM Post #8 |
![]()
Aspiring paleontologist, science enthusiast and armchair speculative fiction/evolution writer
![]() ![]() ![]() ![]() ![]() ![]() ![]() ![]() ![]() ![]()
|
Added to JD-man's post: http://scifi.pages.at/vong/trooe.html Feathers and endothermy ("warm-bloodedness"): In 2005 the discovery of Jinfengopteryx elegans prooved once and for all that Troodontidae were definatly adorned with feathers since that remarkable fossil had feather impressions preserved. Although the animal was placed inside the Avialae (primitve birds) by the authors of the first description (Qiang et al. 2005) Michael Mortimer and others argued very convincingly that it fits much better within the Troodontidae (see "The Theropod Database" under "Links"!). But what good would feathers be for an ectothermic ("coldblooded") animal? No good at all! Feathers are a very effective way to retain body heat through insulation, but this insulation at the same time prevents the body from obtaining heat from it's surroundings. Since ectothermic animals depend very much on environmental heat it would be rather hazardous for such animals to develop any sort of insulating cover. Modern reptiles for example greatly depend on quickly heating up their bodies to their preferred temperature in the morning, specially in moderate climates or environments where temperatures drop sharply over night ( for example deserts). If they cannot do that for whatever reason, many will not even become fully active, and some tropical reptile's digesting systems will not even work properly if their body temperature drops below a critical minimum. The commonly known Iguana (Iguana iguana iguana) cannot digest food properly once it's body temperature sinks below 20 °C. If the animal has to remain at such low temperatures over a prolonged period of time, it will get sick and eventually die! Thus feathers are a very strong indicator for endothermy. Another important argument for endothermy in non-avian dinosaurs (and a direkt connection between feathery integument and endothermy) can be made of inspections of embryos in fossil eggs of Troodon formosus. All embryos within a clutch show a similar stage of development (Varicchio et al. 2002). There are two possible explanations for this observation, but one of them can be excluded with almost 100% security: A - All eggs of a clutch were laid at the same time (this possibility can be excluded, see below at "behaviour"). B - The eggs were laid during an intervall of several days. Because of the difference between the temperature of the body of the mother and that of the environment, development of the embryos within the eggs was temporarily halted (the embryos didnt develop much due to the lower temperature). Only after clutch completion the mother - and/ or father - animal began brooding (wether or not both parents participated in brooding can not be stated with sufficient security at this point). Only now the temporarily halted development of the embryos continued. This observation can be made for (to my knowledge) all modern avian dinosaurs (birds). This is of essential importance for all those species which's chicks ar precocial since alternating hatching-times within a clutch would pose an almost insurmountable problem for the parents because of the need to look after the hatchlings on one side, and the necessity of further brooding for those eggs which havent hatched yet on the other! (Varicchio & Jackson in "Feathered Dragons", 2004) Besides this one there are several other indicators pointing towards endothermic non-avian dinosaurs: The bones of ectothermic animals show distinctive "growth rings" (similar to those shown in trees) which many non-avian dinosaur bones lack (Bakker and many other authors). However, growth rings are also known from a few endothermic animals and thus arent considered as good indicators by some authors (for example Ruben et al. 2005). Another feature found in endothermic animals may be an even better indicator for dinosaur endothermy. Bones of endotherms show a dense system of specialized blood vessels while those of ectotherms show only few or even no such blood vessels at all in their bone structure (Bakker 1972). Since many dinosaur bones show the endothermic distribution of these specialized blood vessels, and some even show more of them then what is seen in modern endotherms, the picture points once again towards endothermic non-avian dinosaurs. The upright posture that was kept by all dinosaurs also points towards endothermy. While modern (and extinct) ectotherm's legs are splayed to the sides, all living endotherm's and extinct non-avian dinosaur's legs are positioned directly under their bodies (Bakker 1972, Schweitzer 2005). Moreover only endothermic animals evolve into obligate bipeds (animals that must walk on two legs) (Schweitzer 2005). Another indicator for dinosaur endothermy is the predator to prey ratio. Since ectotherms need less energy (because they dont have to "waste" a lot of energy for keeping their body temperature stable) the predator to prey ratio is significantly higher in ecosystems where most top-predators are ectotherms then in endotherm-dominated ecosystems (Bakker 1972, 1986; Farlow date unknown). Since most non-avian dinosaur faunas studied apparently show predator to prey ratios similar to those of modern mammal dominated faunas, it is likely that these ratios indicate dinosaur endothermy. However it can not be excluded that these ratios may be the result of bias in the fossil record (Farlow, date unknown). Lately the bones of Tyrannosaurus rex have been analysed regarding oxygen isotopes (radioactive oxygen atoms/molecules). The analysis results suggest that the animal's extremities (arms, legs, tail) were kept at an elevated temperature, close to that of the body's core. This in turn suggests that the animal may have been endothermic (Phil Bigelow on the DML 2005). A remarkable fossil named "Willo" studied by a team of scientists (amongst them Dale A. Russell) revealed structures when scanned using the latest computer tomography techniques that the team interpreted as the remains of a four-chambered heart and a single systemic aorta. Such a configuration strongly points towards elevated metabolism rates for dinosaurs and in return towards endothermy (Fisher et al. 2000). It may even be possible that endothermy was a common trait for the ancestors of avian-, non-avian dinosaurs and modern crocodylians, the archosaurs. All modern reptiles have a three-chambered heart - with one exception: The crocodylians. Seymor et al. (2004) argued very convincingly that the four chambered heart found in modern crocodylians may be a remainder of their archosaur ancestors and that crocodylians reverted to ectothermy when they occupied the semi-aquatic "wait and ambush" predator niche. If archosaurs were endotherms as the avian dinosaurs living today (birds) are, then it would be almost certain that the extinct non-avian dinosaurs were also endothermic animals (see Seymor et al. 2004a; Hillenius et al. 2004 and Seymour et al. 2004b for a good sequel of argument and counter-arguement!). However there is one argument that appears to speak against endothermic dinosaurs: Respiratory turbinates. These very delicate (and thus not preserved in fossils!) structures are common amongst most modern endotherms. Ruben et al. argued in their 1998 publication that the lack of respiratory turbinates allows the inference that dinosaurs were ectothermic animals. These structures found in the nasal cavity (the cavity right behind the opening of the nose) function to warm up air before it reaches the lungs and "recycle" some of the humidity as the air is exhaled. Ruben et al. argued that, besides the fact that those turbinates cannot be expected to preserve in fossils, the nasal cavities of non-avian dinosaurs were generally to small in order to make it possible for them to possess respiratory turbinates. Apparently some non-avian dinosaurs had nasal cavities that could have been very well big enough to support respiratory turbinates (for example: Gregory Paul at the DML 1998). Paul (same source as before) also states that Ruben et al. used reconstructions of highly fragmental specimens in order to demonstrate the "narrowness" of non-avian dinosaur nasal passages and that these passages are actually quite a bit larger then thought when examined in better preserved fossils (Velociraptor mongoliensis). My personal view on this is that a) the absence of obvious evidence for turbinates is no evidence for their absence, b) quite a few modern endotherms show no such structures at all. After all we know at least one group of dinosaurs that is still alive today and are also endothermic: The avian-dinosaurs, better known as birds! |
![]() |
|
| theropod | Jan 27 2013, 09:07 PM Post #9 |
|
palaeontology, open source and survival enthusiast
![]() ![]() ![]() ![]() ![]() ![]() ![]() ![]() ![]() ![]()
|
Sorry, I meant to write carnivorous mammals, I don't know about modern proboscideans or cetaceans. I got that from here: http://palaeo-electronica.org/1999_2/gigan/issue2_99.htm |
![]() |
|
| Varanus | Jan 29 2013, 04:26 AM Post #10 |
|
Autotrophic Organism
![]() ![]() ![]() ![]()
|
Did research on whales and Elephants. Apparently whales experience slower metabolism when diving deep under water, and elephants just waste energy by throwing heat out their ears. I couldn't find anything that says they are less warm blooded than other mammals. Still, I can see why it would make sense for large dinosaurs to "semi-warmblooded." A dinosaur's mass could serve as a strong insulator, so little heat production is needed. Energy, on the other hand, must be conserved because dinosaurs can't just swim into food like a baleen whale. The alternative is for a dinosaur to have mechanism to throw off heat like an Elephant. Edited by Varanus, Jan 29 2013, 04:26 AM.
|
![]() |
|
| theropod | Jan 29 2013, 04:35 AM Post #11 |
|
palaeontology, open source and survival enthusiast
![]() ![]() ![]() ![]() ![]() ![]() ![]() ![]() ![]() ![]()
|
Sounds logical. |
![]() |
|
| Jinfengopteryx | Jan 29 2013, 06:18 AM Post #12 |
![]()
Aspiring paleontologist, science enthusiast and armchair speculative fiction/evolution writer
![]() ![]() ![]() ![]() ![]() ![]() ![]() ![]() ![]() ![]()
|
I think that's another reason for them to have long necks and tails, because they're good for giving off heat. |
![]() |
|
| Taipan | Jul 18 2013, 09:57 PM Post #13 |
![]()
Administrator
![]()
|
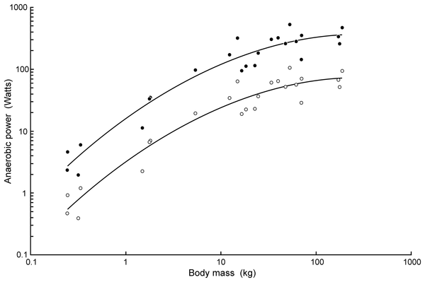
New Evidence for Warm-Blooded Dinosaurs July 17, 2013 — University of Adelaide research has shown new evidence that dinosaurs were warm-blooded like birds and mammals, not cold-blooded like reptiles as commonly believed. In a paper published in PLoS ONE, Professor Roger Seymour of the University's School of Earth and Environmental Sciences, argues that cold-blooded dinosaurs would not have had the required muscular power to prey on other animals and dominate over mammals as they did throughout the Mesozoic period. "Much can be learned about dinosaurs from fossils but the question of whether dinosaurs were warm-blooded or cold-blooded is still hotly debated among scientists," says Professor Seymour. "Some point out that a large saltwater crocodile can achieve a body temperature above 30°C by basking in the sun, and it can maintain the high temperature overnight simply by being large and slow to change temperature. "They say that large, cold-blooded dinosaurs could have done the same and enjoyed a warm body temperature without the need to generate the heat in their own cells through burning food energy like warm-blooded animals." In his paper, Professor Seymour asks how much muscular power could be produced by a crocodile-like dinosaur compared to a mammal-like dinosaur of the same size. Saltwater crocodiles reach over a tonne in weight and, being about 50% muscle, have a reputation for being extremely powerful animals. But drawing from blood and muscle lactate measurements collected by his collaborators at Monash University, University of California and Wildlife Management International in the Northern Territory, Professor Seymour shows that a 200 kg crocodile can produce only about 14% of the muscular power of a mammal at peak exercise, and this fraction seems to decrease at larger body sizes. "The results further show that cold-blooded crocodiles lack not only the absolute power for exercise, but also the endurance, that are evident in warm-blooded mammals," says Professor Seymour. "So, despite the impression that saltwater crocodiles are extremely powerful animals, a crocodile-like dinosaur could not compete well against a mammal-like dinosaur of the same size. "Dinosaurs dominated over mammals in terrestrial ecosystems throughout the Mesozoic. To do that they must have had more muscular power and greater endurance than a crocodile-like physiology would have allowed." His latest evidence adds to that of earlier work he did on blood flow to leg bones which concluded that the dinosaurs were possibly even more active than mammals. ![]() T. rex (artist's rendering). Journal Reference: Roger S. Seymour. Maximal Aerobic and Anaerobic Power Generation in Large Crocodiles versus Mammals: Implications for Dinosaur Gigantothermy. PLoS ONE, 2013; 8 (7): e69361 DOI: 10.1371/journal.pone.0069361 Abstract Inertial homeothermy, the maintenance of a relatively constant body temperature that occurs simply because of large size, is often applied to large dinosaurs. Moreover, biophysical modelling and actual measurements show that large crocodiles can behaviourally achieve body temperatures above 30°C. Therefore it is possible that some dinosaurs could achieve high and stable body temperatures without the high energy cost of typical endotherms. However it is not known whether an ectothermic dinosaur could produce the equivalent amount of muscular power as an endothermic one. To address this question, this study analyses maximal power output from measured aerobic and anaerobic metabolism in burst exercising estuarine crocodiles, Crocodylus porosus, weighing up to 200 kg. These results are compared with similar data from endothermic mammals. A 1 kg crocodile at 30°C produces about 16 watts from aerobic and anaerobic energy sources during the first 10% of exhaustive activity, which is 57% of that expected for a similarly sized mammal. A 200 kg crocodile produces about 400 watts, or only 14% of that for a mammal. Phosphocreatine is a minor energy source, used only in the first seconds of exercise and of similar concentrations in reptiles and mammals. Ectothermic crocodiles lack not only the absolute power for exercise, but also the endurance, that are evident in endothermic mammals. Despite the ability to achieve high and fairly constant body temperatures, therefore, large, ectothermic, crocodile-like dinosaurs would have been competitively inferior to endothermic, mammal-like dinosaurs with high aerobic power. Endothermy in dinosaurs is likely to explain their dominance over mammals in terrestrial ecosystems throughout the Mesozoic. ![]() Figure 1. Mean rate of lactate production in exercising Crocodylus porosus. Data are given as rates per gram of muscle and in relation to body size in 24 animals. Data from [25]. A 3-parameter regression is set to the data (see text). ![]() Figure 2. Rate of anaerobic power generation in Crocodylus porosus in relation to body mass. Lower data set (open circles) is the measured mean rate over the entire course of exercise to fatigue [25]. Upper data set (filled circles) is the calculated burst rate during the first 10% of the exercise period, assuming that the rate decreases exponentially to zero at exhaustion. This multiplies the mean rate by a factor of 5. The curves are 3-parameter regressions set to the data (see text). ![]() Figure 3. Rate of energy production (power) from anaerobic glycolysis during exhaustive exercise in Crocodylus porosus. To fit on the figure, only 1 kg and 10 kg body masses are plotted (data not shown for larger animals). The total energy produced anaerobically during the entire exercise period is related to the area under each curve. Horizontal lines indicate mean anaerobic power to the point of fatigue. Curves are assumed exponential decreases in power during the exercise period. The highest points on the left represent burst power during the first 10% of exercise and are used to estimate the maximum initial anaerobic contribution to exercise. Data are derived from [25]. ![]() Figure 4. Allometric analysis of power output in Crocodylus porosus compared to mammals of the same size. SMR is the standard metabolic rate, Aerobic is the aerobic power and Total is the sum of aerobic and anaerobic power output. Equations for the lines are provided in the text. ![]() Figure 5. Total power output in Crocodylus porosus compared to a mammal of the same size. Aerobic (blue bottom) and anaerobic (red top) fractions of the total are given for animals weighing 1, 10, 100 and 200 kg. http://www.plosone.org/article/info%3Adoi%2F10.1371%2Fjournal.pone.0069361 |
![]() |
|
| Ausar | Jul 18 2013, 10:06 PM Post #14 |
|
Xi-miqa-can! Xi-miqa-can! Xi-miqa-can!
![]() ![]() ![]() ![]() ![]() ![]() ![]() ![]() ![]() ![]()
|
Edited by Ausar, Jul 18 2013, 10:09 PM.
|
![]() |
|
| JD-man | Jul 30 2013, 09:07 AM Post #15 |
|
Autotrophic Organism
![]() ![]() ![]() ![]()
|
EDITED.
Edited by JD-man, Jul 30 2013, 02:50 PM.
|
![]() |
|
| 1 user reading this topic (1 Guest and 0 Anonymous) | |
![]() ZetaBoards gives you all the tools to create a successful discussion community. Learn More · Sign-up Now |
|
| Go to Next Page | |
| « Previous Topic · Debate & discussion of dinosaur related topics. · Next Topic » |
| Theme: Dinosauria light | Track Topic · E-mail Topic |
9:39 AM Jul 11
|
Powered by ZetaBoards Premium · Privacy Policy


)


![]](http://z4.ifrm.com/static/1/pip_r.png)














9:39 AM Jul 11