| Welcome to Carnivora. We hope you enjoy your visit. You're currently viewing our forum as a guest. This means you are limited to certain areas of the board and there are some features you can't use. If you join our community, you'll be able to access member-only sections, and use many member-only features such as customizing your profile and voting in polls. Registration is simple, fast, and completely free. Join our community! If you're already a member please log in to your account to access all of our features: |
| Brown Bear - Ursus arctos | |
|---|---|
| Tweet Topic Started: Jan 7 2012, 08:00 PM (28,287 Views) | |
| firefly | Sep 29 2012, 06:24 AM Post #16 |
|
Herbivore
![]() ![]() ![]() ![]() ![]() ![]()
|
http://www.deviantart.com/download/208237622/grizzly_bear_claw_necklace_by_naturepunk-d3fz96e.jpg Grizzly bear claw Edited by firefly, Sep 29 2012, 06:25 AM.
|
![]() |
|
| Ursus arctos | Dec 25 2012, 06:06 AM Post #17 |
|
Autotrophic Organism
![]()
|
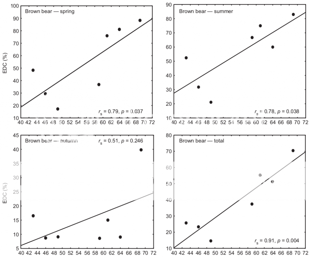
This is an attempt at a comprehensive overview of brown bear diets in different regions, and even times. If anything at all was missed, or new publications are made, please post info or at least citations so that the additional info may be looked up! I decided to make this thread a work in progress, slowly adding additional info over time, and not initially promising a high degree of completeness. Members, please feel free to add info yourselves! Discussing method of each source would be useful and helpful. To start, a general overview of North America from: Mowat, G., Heard, D., 2006. Major components of grizzly bear diet across North America. Canadian Journal of Zoology 84, 473-489. They analyzed stable carbon and nitrogen isotope composition of whole grizzly bear guard hairs. As guard hairs are long, taking some time to grow, they assumed it thus represents an average of the annual diet of the bears. They estimated contribution from four components: "plants, marine-derived nutrients (primarily salmon), terrestrial meat (primarily ungulates), and landlocked kokanee salmon (Oncorhynchus nerka (Walbaum in Artedi, 1792))" (And adjusted the isotope ratios in these food items for the higher expected ratios of their consumers.) Anyway, the results: ![]() ![]() ![]() Maps showing estimating regional changes in % salmon and terrestrial meat based on study area percentages: ![]() ![]() Finally, here are plots of diets vs age that can give you an idea of the extant of how diet varies with age, sex. Individual variation within any given region is likely to be smaller, but that some individual males can, for example, feed very heavily on terrestrial meat (one looks like he's at about 95%!): ![]() ![]() You may have noticed from the maps that it looks like grizzlies become increasingly carnivorous further north/increasing herbivorous further south. The same pattern holds in Europe (and for European badgers and pine martens). Info from: Vulla, E., Hobson, K., Korsten, M., Leht, M., Martin, A-J., Lind, A., Mannil, P., Valdmann, H., Saarma, U., 2009. Carnivory is positively correlated with latitude among omnivorous mammals: evidence from brown bears, badgers and pine martens. Annales Zoologici Fennici 46, 395-415. They also used a stable isotope analysis, but gathered hairs from multiple points throughout the year (spring, summer, and autumn). Reference samples of isotope were also much more diverse: "Reference samples for the stable-isotope analysis were taken from the main components of the brown bear diet: plants, ants, domes- tic and wild animals; these were the follow- ing: bilberry (Vaccinium myrtillus), cranberry (Oxycoccus palustris), cowberry (Vaccinium vitis-idaea), raspberry (Rubus idaeus), domestic apple (Malus domestica), stinging nettle (Urtica dioica), clover (Trifolium sp.), orchard grass (Dactylis glomerata), marsh hawksbeard (Crepis paludosa), meadowsweet (Filipendula ulmaria), wild angelica (Angelica sylvestris), fireweed (Epilobium angustifolium), oats (Avena sativa), barley (Hordeum vulgare), coltsfoot (Tussilago farfara), bishop’s goutweed (Aegopodium poda- graria), hogweed (Heracleum sibiricum), aspen (Populus tremula), dandelion (Taraxacum sp.), moose, wild boar, domestic pig (Sus scrofa var. domesticus) and cattle (Bos taurus)." Scat analysis and even looking at stomach contents ( ) was performed.Info: ![]() ![]() EDC= edible dietary content; in the above graphs it is EDC of meat. Last one for this installment, info and same strategy (stable isotope analysis) from: Hildebrand, G., Schwartz, C., Robbins, C., Jacoby, M., Hanley, T., Arthus, S., Servheen, C., 1999. The importance of meat, particularly salmon, to body size, population productivity, and conservation of North American brown bears. Canadian Journal of Zoology 77, 132-138.
|
![]() |
|
| Mesopredator | Dec 25 2012, 07:00 AM Post #18 |
|
Disaster taxa
![]() ![]() ![]() ![]() ![]() ![]() ![]() ![]()
|
I just wanted to say that I'm keeping my eye on this thread. I'm very interested in these sort of things. The futher North, the more carnivorous makes sense to me. The worser the winter, the less vegatable foods, right? |
![]() |
|
| Ursus arctos | Dec 25 2012, 12:04 PM Post #19 |
|
Autotrophic Organism
![]()
|
Here is what Mowat, et al (2006) says on terrestrial meat%: "The pattern of consumption of terrestrial meat was similar between sexes. In most areas of the Rocky Mountain west slopes, ungulates are not abundant (Shackleton 1999); nitro- gen signatures were similar between the sexes and consis- tently suggested that little terrestrial meat was consumed (this study, Hobson et al. 2000). Males are likely unable to monopolize terrestrial meat resources in interior areas except perhaps where gut piles from hunter-killed ungulates are very common. The pattern of terrestrial meat consumption between sexes would suggest that at high ungulate densities, males and females encounter and exploit ungulates at similar rates. At lower ungulate densities the resource is more clumped and males spend more time actively hunting, are more likely to be able to defend carcasses until they are consumed, or encounter ungulates more often than females because of their larger home ranges. Other authors have shown that male grizzly bears consume the greater portion of a meat re- source that occurs in relatively small patches. For example, male bears consumed more spawning cutthroat trout (Oncorhynchus clarkii bouvieri (Jordan and Gilbert, 1883)) than females, and spawning fish are confined to a portion of the small streams in the Greater Yellowstone Ecosystem (Felicetti et al. 2004). Jacoby et al. (1999) showed that male bears typically had higher meat consumption than females in areas of the continental Midwestern United States; these bears fed on presumably predated ungulates and scavenged road-killed ungulates. In contrast, bears that fed heavily on cattle had similar terrestrial meat intakes among sex and age classes. The highest terrestrial meat diet fractions were consumed by grizzly bears in Arctic areas where caribou were abun- dant. Similarly, moose were abundant in areas of Alaska and British Columbia where terrestrial meat diet fractions were also high (Miller et al. 1997; Hilderbrand et al. 1999b; Shackleton 1999). Ungulates are abundant along the Rocky Mountain east slopes and in parts of the central interior of British Columbia, and terrestrial meat fractions were modest to high in these areas. Terrestrial meat fractions were lowest in wet areas, where forests are dense and ungulates are not abundant. Our data suggest a weak negative relationship be- tween climate moisture and the fraction of the diet that con- sists of terrestrial meat. The functional relationship is probably between bears and ungulates, with ungulate num- bers being higher where there is less snow (Kelsall and Telfer 1973; Crete 1976; Thomas and Toweill 1982)." Basically, they attributed terrestrial meat % to how common ungulates are. Vulla, et al (2009) was more in line with your thinking: "It is notable that brown bears consume more animal food items in northern areas in Europe during spring and summer, but not in autumn. It seems likely that this pattern reflects seasonal variation in the availability of different food items, but also differences in the energy demands Vulla et al. • Ann. ZOOL. Fennici Vol. 46 of bears living at different latitudes. Since it is known that the vegetation period is shorter and plant species richness is lower at higher lati- tudes (Rosenzweig 1995, Cox & Moore 2005), it is clear that the availability of plants varies latitudinally. However, it is likely that a similar pattern also exists for animals; mammal prey- species biomass decreases at northern latitudes (Jędrzejewski et al. 2007), though more ants are available in northern areas (Groβe et al. 2003). Nonetheless, as brown bears are known to feed extensively on carcasses, a higher abundance of other top predators, such as wolves and lynx in northern latitudes may increase the availability of carcasses and thereby the proportion of mam- mals in the brown bear diet. The abundance of easily accessible domestic animals such as sheep in Norway, can also significantly increase the contribution of mammals in the brown bear diet (Dahle et al. 1998). It has been shown that bears from southern Europe lose weight in spring while northern bears gain weight during this time (Swenson et al. 2007a). In southern areas, bears seem to meet their energy requirements by consuming energy-rich plant food in spring, while in north- ern areas animal food is essential for meeting energy demands after hibernation. This study has also shown that there exists latitudinal gradi- ent in the consumption of food items with high energy value (both plants and animals) in spring (Fig. 6b). Because muscle protein concentration declines 10%–20% during winter sleep (Hissa et al. 1998), this trend might result from a differ- ence in the duration of hibernation; thus, bears need more high-quality food to recover quickly from hibernation in northern areas. Moreover, bears in northern latitudes may have adapted to use more animal food in spring as there is short- age of energy-rich plant items. While the larger proportion plant items consumed by brown bears in southern areas in spring likely reflects the earlier onset of the vegetation period, the same preference for plants in summer is likely to reflect the earlier onset of fruiting, producing high energy berries and cereals (Hewitt & Robbins 1996). The proportion of insects (predominantly ants), increases significantly both in northern and southern latitudes in summer, since their biomass is then high and larvae are in abundance. The high proportion of plant food items con- sumed in autumn is a result of the requirement for carbohydrate-rich food items for building up fat reserves prior to hibernation, which is vital for successful hibernation and fecundity. This requirement for carbohydrates in autumn seems to apply equally to bears throughout Europe such that the variation in plant/animal food ratio in the bear diet along latitudinal gradient disappears at this time of year." Finally, info from: McLellan, B.N., 2011. Implications of a high-energy and low-protein diet on the body composition, fitness, and competitive abilities of black (Ursus americanus) and grizzly (Ursus arctos) bears. Canadian Journal of Zoology 89, 546-558. Quite convincingly argues that abundant quality vegetation is quite decisive, allowing increased population densities (assuming no salmon): ![]() Here is the figure showing population density vs terrestrial meat in diet: ![]() They also performed dietary analysis, based on a combination of stable isotope ratios, scat analysis, and direct observation for grizzlies and only scat analysis for black bears. They corrected for differing digestibility. ![]() The study areas were the Flathead River drainage and the upper Columbia River drainage. Latitude correlation isn't necessarily always that strong. In the most extreme counter example there is not much good vegetation; info from: Aichun, X., Zhigang, J., Chunwang, L., Jixun, G., Guosheng, W., Ping, C., 2006. Summer food habits of brown bears in Kekexili Nature Reserve, Qinghai-Tibetan Plateau, China. Ursus 17, 132-137. ![]() No correction mentioned, but as 98% of the fecal volume was mammals I doubt it would have made a difference. These values are summer values; perhaps vegetation makes up a far more substantial part of their diet in spring or autumn. However, with a population density of 3 bears per 1,000 km2 their density is about three times lower than even the lowest of the 20 North American brown bear populations from figure 5 above! Aichun, et al cites: Wang, S. 1998. China Red Data Book of Endangered Animals. Science Press, Beijing, China. For the population density figure. A bigger contradiction of that idea may be that Yellowstone grizzlies are located rather far South relative to most of the remaining populations, yet were listed at 44 +/- 22 % by Hildebrand, et al (1999). More info in a later installment... |
![]() |
|
| Vivec | Dec 25 2012, 08:28 PM Post #20 |
|
Canid and snake enthusiast.
![]() ![]() ![]() ![]() ![]() ![]() ![]() ![]() ![]()
|
I always wondered why one of the biggest terrestrial omnivores never ate larger prey such as Deer and Wild Boar that often, it has a nice set of teeth. |
![]() |
|
| Mesopredator | Dec 25 2012, 10:13 PM Post #21 |
|
Disaster taxa
![]() ![]() ![]() ![]() ![]() ![]() ![]() ![]()
|
So, quality and density of vegatable food is indeed a factor, but so is unglate density (and quality?). For example, wetlands where unglates are less common, meat is less consumed. Carcasses can increase the amount of meat. So bears, can, benefit from other top predators. I must say I always thought bears to be bad predators, only taking young unglates. A quick look at wikipedia does say they do, not all bears though, prey on adults. |
![]() |
|
| Cat | Dec 26 2012, 10:08 AM Post #22 |
|
Omnivore
![]() ![]() ![]() ![]() ![]() ![]() ![]()
|
It's not that surprising considering that brown bears aren't very stealthy animals. Actually they have decent speed, but even faster predators like big cats often need to stalk and get close to their preys before attacking. For that stealth is key. |
![]() |
|
| Vivec | Dec 26 2012, 10:49 AM Post #23 |
|
Canid and snake enthusiast.
![]() ![]() ![]() ![]() ![]() ![]() ![]() ![]() ![]()
|
I know they aren't the prime example of an animal athlete (but they can run faster than a human oddly enough), but it could use it's pure strength and weight to take prey down as well. If they're able to kill a Moose then they must be pretty darn good at hunting. |
![]() |
|
| Scalesofanubis | Dec 26 2012, 12:50 PM Post #24 |
|
Omnivore
![]() ![]() ![]() ![]() ![]() ![]() ![]()
|
You have to catch it first, and that can be a problem for bears. Most of what they hunt is faster than they are with more endurance, and bears aren't known for their natural stealth. They can LEARN how to catch big game, but it's not what they are born to do, so to speak. |
![]() |
|
| Ursus arctos | Dec 26 2012, 07:16 PM Post #25 |
|
Autotrophic Organism
![]()
|
Here is some excellent info from the following source: Mattson, D., 1997. Use of ungulates by Yellowstone grizzly bears. Biological conservation 81, 161-177. The information mostly comes from visiting radio tagged grizzly bears. Most of the results are based on related estimates, how much meat likely to be gotten off a carcass how often bears feed on them, etc. While the study was published shortly after the reintroduction of wolves, all the research involved occurred prior-things are likely quite different now. Anyway, the results: Use over the course of the year: ![]() Break down of the different ungulate types they fed on, how much they made of the total, and how much of each category were the result of predation: ![]() Along with more info, such as estimated meat per carcass type. Bear use relative to densities: ![]() 0= expected, negative numbers less than, and positive numbers more than. See the discussion of the results below! Adult males made much more use of ungulates than any of the other age-sex classes: ![]() And also gained their meat from predation with a much higher frequency. Estimated actual use levels per bear: ![]() An adult male was expected to take an average of 2 adult elk per year, and an adult moose every other year. Mule deer were taken nearly once a year. Of course, these are averaged predictions. There was probably a lot of individual variation. Finally, by region within the park: ![]() Quote on the article regarding variation in ungulate use: "Variation in ungulate use The frequency with which Yellowstone grizzly bears used ungulates varied considerably among months, years, and parts of the study area. This result was con- sistent with the varied food habits of Yellowstone's grizzlies (Mattson et al., 1991). Vulnerability of ungu- lates to bears was likely affected by several factors, given that grizzlies are versatile yet relatively ill- equipped for cursorial predation (Van Valkenburgh, 1985, 1989). As anticipated, bear use of ungulates was related to whitebark pine seed use and densities of large-bodied ungulates. After May, when virtually all winter-kills had been scavenged (Green, 1994), grizzlies used ungulates the most during years when they used pine seeds the least. Ungulate use was also greater, aside from the effects of ungulate densities, in areas with fewer white- bark pine stands. For these reasons, it is likely that grizzly bear use of ungulates was in part compensatory to limited availability and use of whitebark pine seeds. Total ungulate numbers also seemed to affect bear use, especially through availability of carrion on ungu- late winter ranges. The relationship of April-May ungulate use to carcass numbers was consistent with a satiation or type II functional response, in that a con- tinually smaller portion of added carcasses was appar- ently used by grizzlies. According to these results, demand by grizzly bears approached saturation (<one- quarter of d y / d x at carcass use frequency = 0) in only 3 of the 12 study years, and came closest to saturation during the mass ungulate die-off of 1989 that followed a severe drought and extensive wildfires during 1988 (Green, 1994). Frequency of ungulate use was similarly highest in the part of the study area with highest ungu- late densities. Yellowstone's grizzlies consumed the most ungulate meat during early and late months of the active season, in common with grizzlies in the eastern Rocky Moun- tains of the United States (Kendall, 1986; Aune & Kasworm, 1989) and brown bears throughout most of the former Soviet Union (e.g. Ustinov, 1965; Novikov et al., 1969; Zavatskii, 1978; Kaletskaya & Filinov, 1986). The April-May peak was associated with the highest frequency of scavenging and the greatest seasonal availability of carrion (Green, 1994). During the fall, bears consumed substantial amounts of both prey and carrion that were more equally comprised of elk, moose, and bison compared to other seasons. This season's use also coincided with the overlapping ruts of bison (July- August), elk (September), and moose (September- October), during which bulls were weakened, sometimes disoriented, and occasionally killed by each other (McHugh, 1958; Coady, 1982; Houston, 1982). The four-fold increase in the relative frequency with which grizzlies used adult male ungulates between April-July and August-October can thus be explained by greater vulnerability and mortality of bulls during the rut. Even though use of ungulates by Yellowstone grizz- lies was annually quite varied, there was no basis for concluding that either total ungulate use or frequency of predations on adults and calves was different between early (<1984) and late (_>1985) years of the study. If anything, predation and total use were slightly greater earlier, possibly due to a lower frequency of good pine seed crops (Mattson e t al., 1992). Regardless, bear con- sumption of ungulates did not increase with herd sizes, possibly because this consumption was more directly related to availability of carrion and whitebark pine seeds than simply to numbers of live ungulates." The article then goes on to say that the largest ungulate species (moose and bison) made up far greater % of bear diet, while the smaller species much smaller, than expected by their population densities. Big ungulates have more meat that the bears can eat. Now the IMO most interesting section: "Features of predation Approximately one-third of the ungulates used by Yel- lowstone grizzly bears were their prey, corresponding to ,~ 1.4-5.8 ungulates killed per adult bear per year, depending upon whether the bear was female or male. This rate was less than the 5.4 calves and 1.5-3.9 adults estimated to have been killed each year by grizzlies in east-central Alaska (Boertje et al., 1988), but compar- able to the 1-4-6.4 moose calves killed by black bears each year on the Kenai Peninsula of Alaska (Schwartz & Franzmann, 1991). Despite this relatively high fre- quency of predation, these results contrasted with Cole's (1972) observation that the majority of elk used by Yellowstone grizzlies were their prey. This may be due to differences in methods. Cole's study was based upon daylight observations in open areas, and was restricted to a relatively small portion of Yellowstone National Park. Yellowstone grizzlies clearly benefited from pre- dation. Most important, they were able to consume a larger portion of edible biomass at kills compared to scavenged carrion. In an area with some of the highest coyote Canis latrans densities in North America (Crab- tree, 1993), competition with these more numerous scavengers for carrion was intense, especially for the more frequent smaller-bodied carcasses (Green, 1994). Grizzlies dominated other scavengers at carcasses (see Servheen & Knight, 1990), but many carcasses were consumed before any bear could find them (Green, 1994). Yellowstone grizzlies apparently preyed more heavily upon smaller-bodied ungulates, and rarely killed the largest ungulates in their range - - adult bison. Strong selection for younger and smaller-bodied prey, espe- cially within a species, has also been observed for the spotted hyena (Kruuk, 1972; Mills, 1990), and for wolves preying upon bison (Van Camp & Calef, 1987; Carbyn et al., 1993), moose (Mech, 1970; Peterson et al., 1984), and elk (Carbyn, 1983; Huggard, 1993). This pattern contrasts with the predictions of more simplistic optimal foraging models (see Stephens & Krebs, 1986) that anticipate predation upon the largest possible prey as a means of maximizing net energy return. Given that grizzly bears are omnivores and well- suited to scavenging, their predatory activity likely depends upon availability of other feeding opportunities and the risks of injury. The benefits of predation relative to scavenging likely diminished for grizzly bears with increased ungulate body size, and plateaued for con- sumption of ungulates with > 50 kg of edible biomass. On the other hand, ungulates with < 16 kg of edibles appeared to be virtually unavailable to grizzlies if they died by causes other than bear predation (see also Green, 1994). There would thus be an incentive to prey upon small ungulates, especially if they were vulnerable, and little incentive to prey upon large ungulates, espe- cially if there was substantial risk of injury --- as would be likely when attacking the typically aggressive bison (McHugh, 1958; Carbyn & Trottier, 1987). Prey selection by Yellowstone grizzlies was also apparently related to ungulate species, aside from effects of their body size. Moose were apparently most favored and bison and mule deer least favored for predation, consistent with positive selection for moose found by Novikov et al. (1969), Filinov (1980) and Boertje et al. (1988) in their study areas. These differences in selection could be explained by differences in the behavior of ungulate species, especially compared to other potential prey of the same general body size (Caro & Fitzgibbon, 1992). Moose were probably more vulnerable to bear predation than elk or bison because moose are more often solitary and more often inhabit forests where grizzlies can use the stalk and ambush techniques at which they seem to be more successful (e.g. Gunn & Miller, 1982; Schleyer, 1983; Gunther & Renkin, 1990). In contrast, female elk and bison tend to be more highly aggregated and more often in the open (McHugh, 1958; Houston, 1982). Because aggregation can be an effective predator defense (Caro & Fitzgibbon, 1992), it is not surprising that bison were preyed upon less often than comparable-sized moose. Mule deer were infrequent prey, plausibly because of their agility and speed, espe- cially in contrast to elk calves, and their distribution in low-elevation areas less frequented by grizzlies (Mack et al., 1990). There was no indication that predation increased during years with fewer scavenging opportunities. However, the relative frequency of predation in different areas was positively related to ungulate density and the presumed frequency of encounter with potential prey. In seeming contrast, predation was less frequent in Yel- lowstone compared to higher latitude study areas with lower ungulate densities. These results thus supported Boertje et al.'s (1988) hypothesis that predation was compensatory to either low prey densities or fewer scavenging opportunities at a scale that spanned study areas, but did not support their hypothesis within the Yellowstone study area itself. This discrepancy may be due to the effects of other scavengers. Although we lacked information on coyote abundance throughout the study area, we know that areas with the highest ungulate densities also contained extremely high coyote densities, i.e. the North (Crabtree, 1993). It may be that this factor had greater effects on grizzly bear predation than did ungulate densities alone, given that coyotes were major competitors for scavenging opportunities in the Yellowstone area (Green, 1994)." Overall the Yellowstone grizzlies showed a preference for taking small bodied prey, but they also had a bias towards moose (which are big). Tomorrow I will post more info on grizzly - moose relations. |
![]() |
|
| Mesopredator | Dec 27 2012, 09:29 AM Post #26 |
|
Disaster taxa
![]() ![]() ![]() ![]() ![]() ![]() ![]() ![]()
|
Well, I can't really confirm bears are good at stealth, but apparently they do use it in case of the moose, so... Very interesting, because moose do not seem that suitable prey to me, if I was a bear - they look too big, too strong. I can understand young unglates, weakened males by rut, and not taking bison, but the moose are a bit of a suprise. On the other hand, their solitary nature does make them a bit easier to prey on. Also, the reward is bigger - more meat. So bears benefit from wolf kills. Coyotes might quickly eat carrion before a bear finds it. Does that apply to wolves? Might wolves quickly eat carrion before bears? I would assume wolves would kill more often than they eat carrion and that bears keep a look out on the wolves so they can steal their kills. And, more importantly, I would think bigger carcasses would be more available (than small carcasses) when wolves are around, giving bears more time to find them. Which could or would also make carrion more rewardable, because the carcasses are bigger. This information confirms what I already thought, bears are really flexible in their dietary habits. It makes sense they have survived longer in Europe and North America (for example). Lions aren't that flexible. Wolves, yeah, but solitary wolves more. But, you would think leopards would have done better because they are quite flexible too. But the bear is the most flexible, at least in my opinion. Edited by Mesopredator, Dec 27 2012, 09:30 AM.
|
![]() |
|
| Ursus arctos | Dec 27 2012, 12:27 PM Post #27 |
|
Autotrophic Organism
![]()
|
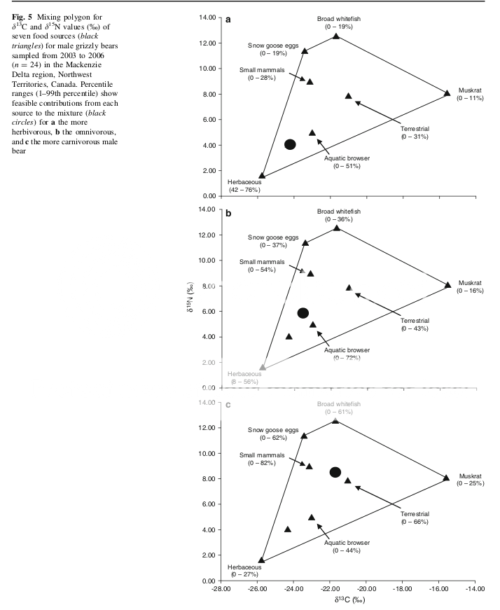
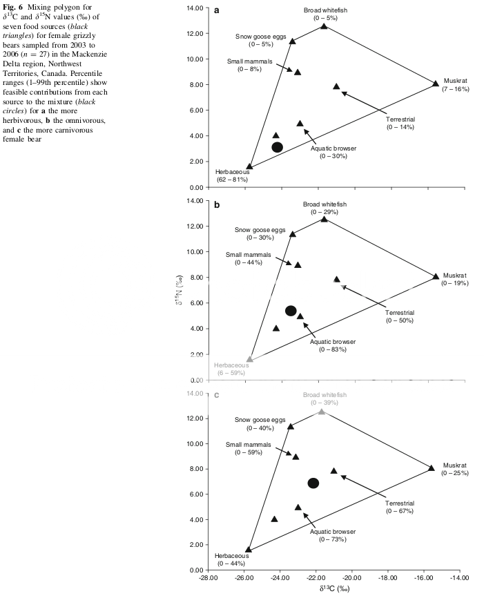
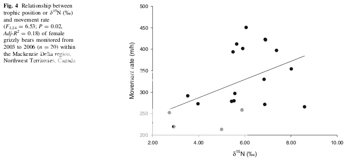
At 3:00 you see a moose family approach a hiding bear. Video footage is from Denali National Park, where meat makes about 18% and plants 82% of the grizzly's diet. Also from Denali, a not-so-stealthy grizzly: Several sources quote that forested environments are important to brown bear predation, as they need cover to ambush. Anyway, south central and east central Alaskan brown bears kill a lot more moose per bear per year than the Yellowstone grizzlies did. Some more info on moose-bear relations, from the following source: Boertje, R., Gasaway, W., Grangaard, D., Kelleyhouse, D., 1988. Predation on moose and caribou by radio-collared grizzly bears in east central Alaska. Canadian Journal of Zoology 66, 2492-2499. Observations: ![]() Timing and sex of moose kills (note, most moose killed were female): ![]() Animal food sources by season and whether they come from predation or scavenging: ![]() Some quotes: Predation on moose and caribou >= 1 year old Predation rates by male bears were highest during spring (1 kill per 26 bear-days), lowest during summer (1 kill per 132 bear-days), and intermediate during fall (1 kill per 43 bear- days), but rates were not significantly different ( p > 0.1; Table 1). Extrapolated annual kill rates for an adult male bear ranged from 3.3 to 3.9 adult moose with 0.8 and 6.6 as the extremes of 90 % confidence intervals. Estimated seasonal predation rates for female bears WOC were not significantly different ( p > 0.1 ; Table 1). The extrapolated average annual kill rates for an adult female grizzly WOC ranged from 0.6 to 0.8 adult moose and from 0.9 to 1.0 caribou >= 1 year old. Extremes of 90 % confidence intervals on these averages were 0.1 and 1.4 for moose and 0 and 2.2 for caribou. Predation rates of the various reproductive classes of females WOC were as follows: lone females made four kills during 467 bear-days, a female with yearlings made 0 kills during 22 bear-days during fall, and a female with 2-year-old cubs made two kills during 72 bear-days during spring and summer. Females WC killed no moose or caribou >= 1 year old during 117 bear-days in spring and summer. Lack of kills was prob- ably due in part to restricted movements and low prey densities (Boertje et al. 1987). Adult male bears 2 8 years old killed adult moose at signifi- cantly greater rates ( p < 0.1) than female bears >= 4 years old WOC, when data were combined for the three observation periods (Table 1). Differences in these kill rates may be due to age-specific differences between bears sampled. However, when predation data on moose and caribou >= 1 year old were combined, no differences (0.1 < p < 0.2) in predation rates were found between male grizzlies and female grizzlies WOC. Data suggest that some males >= 8 years old may be more predatory than others and that most males kill adult moose annually. Of the seven adult male bears, two killed three moose each in 65 and 72 bear-days, one killed two moose in 69 bear-days, one killed one moose in 49 bear-days, and three did not kill adult prey in 15, 3 1, and 74 bear-days, respectively. Therefore, four of five adult males that were observed for at least 49 days killed adult moose. However, no male bears were observed for twice the 42-day average interval between adult moose kills, which was the subjectively determined minimum interval required for assessing if a bear was likely to be a predator of adult moose. Certain females WOC may also be more predatory than others. However, data are inadequate to assess whether most adult female grizzlies kill adult moose and (or) caribou annu- ally. Of the 11 female bears (Table l), 2 each killed l moose and 1 caribou in 94 and 106 bear-days, 1 killed 1 moose in 63 bear-days, 1 killed 1 caribou in 27 bear-days, and 7 did not kill adult prey in 5, 17, 22, 24, 47, 73, and 84 bear-days, respectively. They also note some potential biases, such as an uncollared bear making a kill and a collared bear stealing it. They inspected carcasses on the ground to identify if it was killed or scavenged, but the predator could have been a non-collared bear. I can post the discussion of these if there is interest. Unfortunately they don't have much data, resulting in very wide confidence intervals. They did suggest individual variation among both male and female bears as a possibility. The article also criticized the methods of two studies estimating adult moose kill rates by Ballard, et al (1981, and 1988). I haven't read these, but I did request via interlibrary loan two articles by Ballard from 1990 (meaning after these criticisms were published) so it will be something to keep in mind once I get them. I requested the two articles by Ballard after seeing: Estimates of moose consumption by bears in GMU 13 (Ballard and Miller 1990, Ballard et al. 1990) were made during the seasonal influx of caribou, yet still indicated consumption >5 moose calves/bear and 1.4 adult moose/bear in June and July alone. Boertje et al. (1988) found continued predation on adult moose, pri- marily by male brown bears, into the fall in a popu- lation of moose at very low density (<0.1 moose/km2), also with caribou present. The presence of caribou as alternative prey does not appear to prevent brown bears from consuming moose at per capita rates that rival those of wolves, though that consumption is skewed heavily toward calf moose in summer. From: Testa, J., 2004. Population dynamics and life history trade-offs of moose (Alces alces) in south-central Alaska. Ecology 85, 1439-1452. Note that "Boertje et al. (1988)" = the article I had just posted info from above. Scandinavian moose in general may be predator naive, even after many years with predators. This may be important when considering info from: Persson, I.-L., Wikan, S., Swenson, K., Mysterud, I., 2001. The diet of the brown bear Ursus arctos in the Pasvik Valley, northeastern Norway. Wildlife Biology 7, 27-37. Study used fecal analysis, results for spring: ![]() Moose made up at least 58% of dietary content and 61.5% of dietary energy content. Summer: ![]() Moose made up at least 41.7% of dietary content and 45.1% of dietary energy content. Autumn: ![]() Berries became very important, but ungulates overall were still a major part of the diet. A quote: We found relatively little year-to-year variation in the use of different food items. The variation in use of berries in spring may have been due to variation in the snow cover from year to year, and the variation in use of ungulates in summer may have been due to varia- tion in the availability of ungulate carcasses from ear- ly spring. Some harsh winters around 1980 removed weaker individuals from the moose population, and these were probably scavenged by bears. Weakened moose may also have been easier prey for the bears in spring and early summer. Thus, it seems that the food supply for brown bears in northern Scandinavia is rel- atively stable from year to year, which agrees with results from dietary analyses from southern areas (Jo- hansen 1997, Opseth 1998, Dahle et al. 1998), but con- trasts with those from interior North America where con- siderable annual variation is often found (Mattson et al. 1991). Ungulates, especially adult moose, were the most important food item contributing to the total energy assimilation for the brown bears in the Pasvik Valley. No reindeer were observed to have been killed by bears during snow tracking (Wikan 1996), and low pre- dation rates on reindeer also have been reported from other studies (Haglund 1968, Danilov 1983, 1990). Moose has been reported to be the preferred prey among wild ungulates for brown bears both in European Russia (Semenov-Tyan-Shanskii 1972a, 1972b, Danilov 1983) and in the Yellowstone National Park, USA, probably because of their solitary habits and because they inhabit forested surroundings that favours the stalking of moose (Mattson 1997). Carcasses of rein- deer that have died from causes other than bear predation are undoubtedly important for the bears in the Pasvik Valley, however, and contribute to the large proportion of ungulates in their diet. Intensive scavenging on reindeer carcasses has also been observed in the near- by Lapland Reserve in Russia (Semenov-Tyan-Shanskii 1972b). Brown bears kill ungulates when they are most vul- nerable and will typically eat meat whenever avai- lable (Chatelain 1950, Mattson 1997). The use of ungulates peaked in spring, as has also been reported by others (Kaleckaya 1973, Haglund 1974, Zavatskii 1978, Semenov-Tyan-Shanskii 1982, Boertje, Gasaway, Grangaard & Kelleyhouse 1988). Some bears in the study area apparently specialised in killing moose in conditions of deep snow in spring, and yearling moose in bad condition and pregnant moose cows in normal condition seemed to be most vulnerable (Wikan et al. 1996). However, ungulates were also the most impor- tant food item contributing to the energy in the diet in summer, and summer predation upon moose was observed in the study area (Wikan et al. 1999). To our knowledge, our study has documented the most exten- sive use of ungulates both in spring and (especially) in summer yet reported for brown bears. We are aware that our results should be interpreted with caution. The sample size is rather small, several scats were collected at the same feeding site and were probably deposited by the same individual bear, and there was considerable variation in the content of the main food items among scats. Thus, the results of the analysis might be biased due to small sample size, individual feeding habits among bears, and overrep- resentation of scats from some individual bears. However, the fact that there were no significant dif- ferences in the content of ungulates in scats collected at or near a carcass or bait and scats not collected at a carcass or bait in any season undoubtedly indicates that a high content of ungulates in the diet of bears in the Pasvik Valley was real and not only due to sampling bias. The results of the sensitivity analysis with vary- ing correction factors for ungulates also confirm the importance of ungulates for the bears in the Pasvik Valley; the contribution to the EDEC was estimated to be as high as 90% in spring and no lower than 22% in autumn. There might be several explanations for the high utilisation of ungulates in the Pasvik Valley, including more carnivorous behaviour of bears in the north (Danilov 1983, Kaleckaya 1973, Krechmar 1995) and a simpler ecological structure of northern ecosystems (Wikan et al. 1994). Total ungulate use is likely to vary with the availability of alternative food sources (Mattson 1997). Access to meat in the diet is probably more important to brown bears at northern latitudes (Wikan 1996), especially in early spring when a thick cover of snow prevents utilisation of alternative food sources. The moose population in the Pasvik Valley was large during the study period, and the moose were in rather bad physical condition and therefore easy prey for the bears in spring (Wikan 1996). Favourable snow conditions for bears that hunt moose in early spring are also more pronounced at northern latitudes (Semenov- Tyan-Shanskii 1982, Danilov 1983). An additional explanation for the high utilisation of ungulates might be that the bear population was re- colonising the Pasvik Valley during the study period. Higher predation rates in areas recolonised by carni- vores have been documented both for lynx Lynx lynx predation on wild ungulates in the Swiss Alps (Brei- tenmoser & Haller 1989) and for brown bear predation upon adult moose in south-central Sweden (Persson 1998), and has been suggested to be a general and temporary phenomenon (Breitenmoser & Haller 1989). Moose populations probably lose some of their anti- predator behaviour when their natural predators are removed, and therefore temporarily are easier prey when these predators return (Berger 1998). Compared with the Pasvik Valley, the use of ungulates was con- siderably lower in the Lapland Reserve, which is situ- ated 200 km southeast of Pasvik and which holds an established bear population (Semenov-Tyan-Shanskii 1972a, 1972b). In the Lapland Reserve, ungulates con- stituted only about 16% of the diet on an annual basis (Semenov-Tyan-Shanskii 1972a, 1972b). Unfortunately, he did not describe the methods he used in his study. The moose population in Pasvik was larger than the moose population in the Lapland Reserve (Wikan 1996), so the results from there should be interpreted with cau- tion. Nevertheless, if an expanding bear population has a higher per capita impact on the moose popula- tion along the expanding front, one should expect the utilisation of ungulates to decline after the bear popu- lation has become established in the area. Today, bear reproduction occurs almost annually in Pasvik (Swenson & Wikan 1996), and it would be important to reexamine the extent of predation upon moose in Pasvik now that the bear population has become well established. Not representative of most brown bear populations! ~~~ As far as flexibility is concerned, consider the grizzlies of the Mackenzie Delta study area. Info from: Edwards, M., Derocher, A., Hobson, K., Branigan, M., Nagy, J., 2011. Fast carnivores and slow herbivores: differential foraging strategies among grizzly bears in the Canadian Arctic. Oecologia 165, 877-889. They used GPS collars to monitor the positions of the bears, and used isotope analysis to determine diet. They found the sample of bears were spread really wide, prompting them to divide them into three categories: ![]() Diet estimates per category for males: ![]() And females: ![]() They also found a loose correlation between movement rate and trophic position: ![]() Quote from the article: Diet specialization within populations may be driven by age- or sex-related factors or differences among ecologi- cally heterogeneous individuals (Schoener 1986; Lima and Magnusson 1998; Shine et al. 2002; Bolnick et al. 2003). Because hair and claw samples included in our analysis were only from adult bears, we conclude that the observed diet specialization was not related to ontogenetic shifts, as bears matured from juveniles to adults (Polischuk et al. 2001; Newsome et al. 2006). Equally, because three for- aging groups were identified for both males and females, we can also conclude that the occurrence of diet special- ization was not limited by sexual dimorphism or body size and the ability to secure and handle prey (Selander 1966; Brown and Lasiewsk 1972). What did differ for male and female bears was the proportional contributions of the seven source food types to their diets, with males poten- tially exploiting more animal protein, be it terrestrial, avian or aquatic. For sexually dimorphic species like grizzly bears, the nutritional needs of larger males are greater than those for females, which can result in increased carnivory for males compared to females (Jacoby et al. 1999). Conversely, because of their smaller size and reduced nutritional needs, females can select poorer quality yet adequate food resources (Rode et al. 2006). Therefore, we suggest that the individual diet specialization and trophic level variation that we observed for male and female bears resulted from interindividual differences in prey availability and foraging ability among bears. Similar patterns have been observed in several species. Svanback and Bolnick (2007) demonstrated that the level of diet specialization within a population of three-spine sticklebacks (Gasterosteus aculeatus) may vary depending on changing ecological attributes, with diet specialization increasing with the time it took to detect a change in prey availability. Urton and Hobson (2005) reported that the variable foraging behavior observed among wolves (Canis lupus) resulted from dif- ferences in the availability of foods specific to home ranges, which resulted in isotopic variation and dietary specialization among individuals. Also, a single popula- tion of ring-tailed lemurs (Lemur catta) was divided into three foraging groups based on diet specialization in their use of available forage in habitats that ranged from for- ested to open (Loudon et al. 2007). It follows that along with variation in prey availability, diet specialization may result from phenotypical trade-offs due to individual-level morphological, physiological, and/ or behavioral attributes and experiences that allow different individuals to be more effective at exploiting one type of prey and less effective at exploiting another (Robinson et al. 1996; Svanback and Bolnick 2005, 2007). The use of all resources by all members within a population’s niche width is thus reflected in these trade-offs to the extent that subsets of diet specialization develop within the population (Bolnick et al. 2003). If bears are foraging optimally, they should maximize energy intake and may even ignore pre- ferred prey items when searching and handling time make it more economical to seek alternate prey items (MacArthur and Pianka 1966; Stephens and Krebs 1986). Optimal foraging theory, therefore, provides added explanation for individual-level diet specialization if individuals differ phenotypically in their ability to exploit alternate prey types, and these individuals are able to add different prey types more effectively (Bolnick et al. 2003; Svanback and Bolnick 2005). Therefore, where prey density is low, two or more phenotypically different groups of consumers that rely on divergent alternate prey types will increase the population’s niche width (Svanback and Bolnick 2007). The Mackenzie Delta is characterized by low produc- tivity and low availability of high-quality protein sources (Hilderbrand et al. 1999), and bear densities in this region are some of the lowest in North America (Nagy and Haroldson 1990). For an omnivore like the grizzly bear with a broad niche width and a high level of phenotypic variation, it is not surprising that individual-level diet specialization is more pronounced than for species with narrower niche widths (Lister 1976; Roughgarden 1979; Araujo et al. 2007). High levels of diet specialization and patterns of greater intrapopulation variation in foraging have been reported for other taxa with such characteristi- cally wide niche widths (Lister 1976; Roughgarden 1979; Werner and Sherry 1987; Estes et al. 2003; Svanback and Bolnick 2007). In a review by Bolnick et al. (2003), the high occurrence of intrapopulation variation in foraging behavior across taxa suggests that the presence of diet specialization within populations may be a more general pattern than previously considered. Although we failed to find a significant relationship between home range size and trophic position for the bears of the Mackenzie Delta, our results did provide support for the suggestion of Gittleman and Harvey (1982) and Mace et al. (1983) that omnivores with a higher proportion of animal protein in their diet should have higher rates of movement as they search for low-density animal prey. More herbivorous animals should have lower movement rates, which suggest that they are able to meet their nutritional needs by foraging slowly through a landscape of herbaceous food sources. However, we found that a significant increase in movement rate with trophic position was only present among female bears, and only when examined using linear regression. The nonsignificant relationship that we observed between the movement rate and females by foraging group probably resulted from the low number of bears in each group, especially foraging group 3. Equally, the nonsig- nificant results that we observed when movement rate was analyzed by male trophic position were due to the small sample size. Given these variable results, we feel that fur- ther examination of the relationship between trophic posi- tion and range use is warranted. The correlation between movement and trophic posi- tion that we observed is consistent with findings by Edwards et al. (2009) on the movement patterns and level of site fidelity relative to forage availability for grizzly bears in our study area. In landscapes with low produc- tivity and available protein, and low spatial–temporal predictability of forage resources (i.e., low prey density), a flexible pattern of resource use and a low level of site fidelity is more adaptive than high site fidelity (Switzer 1993; Edwards et al. 2009). As a result, grizzly bear home range location drifted between years and bears found themselves in constantly changing ecological conditions (Edwards et al. 2009). In contrast, bears that live along the Pacific coast of North America have high levels of circannual site fidelity for protein-rich salmon (Oncorhynchus spp.) spawning streams, which are perennially reliable and consistent sources of high-quality forage (Gende and Quinn 2004; Mowat and Heard 2006). Therefore, in the Mackenzie Delta, grizzly bears benefit from a flexible foraging behavior that allows them to switch to different alternate prey that provide greater energy return for search and handling efforts. Which of the alternate prey types is selected may be defined by the phenotypical attributes and experiences of the individual, and this results in diet specialization and increased niche width (Robinson et al. 1996; Svanback and Bolnick 2005, 2007). Am I going overboard with quotes? Would it be preferable to provide summaries instead? Anyway, yes-brown bears are extremely flexible, and may have very high levels of individual variation even within a population. |
![]() |
|
| Mesopredator | Dec 27 2012, 10:29 PM Post #28 |
|
Disaster taxa
![]() ![]() ![]() ![]() ![]() ![]() ![]() ![]()
|
I don't mind the quotes. And I summarize myself to better understand. I was just going to say, that I would think individuals might have other diets. So, females and males might have different diets, with males being more carnivorous (right?). As I understand, diet depends on: -personal preference -gender -seasons -food availability (doh!)* *Because of this populations might have different dietary habits. For example bears that colonize new areas (where predation (by bears) is rare) could have an easier time predating resulting in a higher percentage of predated prey. Another example is bears near the coast having more salmons. Etc. Etc. Nice footage by the way, had not seen it. |
![]() |
|
| Ursus arctos | Dec 28 2012, 03:50 PM Post #29 |
|
Autotrophic Organism
![]()
|
Yes. It is important to note that seasons are important both due to impacting food availability, and because of different nutritional needs at different times of the year (relating to winter hibernation). Weight gain and body composition fluctuate differently in different populations however (due to available foods differing between the regions), so it isn't easy to generalize. Here is another video, where an adult moose escapes a brown bear-by out-swimming it: Thanks to sarus of shaggygod. There are a couple that started after the bear already subdued the moose. They show up relatively high in the results when searching youtube, so many have already seen them. But I haven't seen any videos of a bear actually catching an adult. Info on some bears that feed heavily on caribou, from: Gau, J., Case, R., Penner, D., McLoughlin, P., 2001. Feeding Patterns of Barren-Ground Grizzly Bears in the Central Canadian Arctic. Arctic 55, 339-344. While this is a different article, you can find the same research results and a lot more about the grizzlies studied in that link. This was the study area: ![]() And here were the results: ![]() Note that these are fecal volumes, rather than dietary content or dietary energy content values. For example, looking at the Pasvik brown bears of Norway, in spring when moose made up at least 61.5% of their dietary energy content, moose was at least 32.7% of their fecal volume. I say at least because some of the unspecified ungulate was likely moose. For these barren ground grizzlies, caribou made up 61% of the fecal volume in spring, and 76% of the fecal volume in autumn. The discussion: Upon den emergence, barren-ground grizzly bears fed on caribou of the Bathurst herd as they migrated north to their coastal calving grounds. Overwintered berries were consumed to a lesser extent in the spring. In early summer, when caribou were scarce in our study area, emergent shoots of horsetails (Equisetum spp.), Arctic cotton grasses (Eriophorum spp.), and sedges (Carex spp.) appeared in the diet. As mixed, post-calving herds of caribou moved south through the study area in mid-summer, caribou again became a primary staple for bears. As grizzly bears in our study area became hyperphagic in late summer (Gau, 1998), a discernible shift was noticed: more berries (crowberry, Empetrum nigrum; blueberry, Vaccinium uliginosum; cranberry, V. vitis-idaea; and bearberry) were consumed at that time than in all other seasons combined. However, caribou was still evident in the late summer diet. While Welch et al. (1997) noted some constraints to the importance of berries in the diet of bears, Rode and Robbins (2000) noted that consuming a mixed diet when berries ripen can be an optimal process to reduce the energy cost of maintenance. The autumn diet of grizzly bears was similar to their spring diet. Grizzly bears in autumn fed primarily on caribou during pre-rut and rutting movements near Lac de Gras and on caribou moving through the area during their migration south to the tree line for winter (Fig. 1). Additionally, Arctic ground squir- rels (Spermophilus parryii) frequently occurred as a food item in spring, mid-summer, late summer, and autumn. Most researchers have reported that grizzly bears in the Yukon and western Northwest Territories are predomi- nantly herbivorous, and their predation is opportunistic (Pearson, 1975; Miller et al., 1982; Nagy et al., 1983a, b; Bromley, 1988; MacHutchon, 1996). However, a pre- dominantly carnivorous lifestyle for certain grizzly bear populations is not unusual (Bergerud and Page, 1987; Hamilton and Bunnell, 1987; Boertje et al., 1988; Barnes, 1990; Adams et al., 1995). In fact, some researchers have detailed specific predation events by grizzly bears in the Canadian Arctic on muskox (Ovibos moschatus), caribou, ringed seal (Phoca hispida), and even young polar bears (U. maritimus; Gunn and Miller, 1982; Case and Stevenson, 1991; M.K. Taylor, pers. comm. 1991). Our results indi- cate that caribou are an important food for barren-ground grizzly bears in the central Canadian Arctic. Additionally, the tissues of consumers occupying high trophic levels are often enriched with stable nitrogen isotopes (see reviews by DeNiro and Epstein, 1981; Peterson and Fry, 1987; Hobson, 1999; Kelly, 2000). For example, Hilderbrand et al. (1999) reported stable nitro- gen isotope values from 3.2‰ to 5.8‰ for brown bears where marine dietary content was minimal and plant mat- ter exceeded terrestrial meat in the diet. Jacoby et al. (1999) reported values from 6.8‰ to 9.1‰ for brown bears where terrestrial animals exceeded plant matter in the diet. Blood sampled from some of the same bears we investigated had a mean stable nitrogen isotope value of 7.8‰ (n = 43; see Gau, 1998). A value of 7.8‰ falls within the 6.8‰ to 9.1‰ range reported by Jacoby et al. (1999) where terrestrial animals exceed plant matter in the diet, and seemingly supports our findings that caribou are im- portant to the diet of barren-ground grizzly bears. How- ever, comparisons of isotope studies between ecosystems should be interpreted with caution (Hobson et al., 2000). |
![]() |
|
| Mesopredator | Dec 29 2012, 03:06 AM Post #30 |
|
Disaster taxa
![]() ![]() ![]() ![]() ![]() ![]() ![]() ![]()
|
That I understood. I thought seasons change the food availabilty, and your previous information confirms that. For example weakened males by rut during certain seasons, young herbivores in spring. The different nutritional needs I also read in your previous information, but if I hadn't read it I had no clue.Regions could be another factor, but that's basicly food availability. I'm now reading the article. |
![]() |
|
| 1 user reading this topic (1 Guest and 0 Anonymous) | |
| Go to Next Page | |
| « Previous Topic · Hyaenidae & Ursidae · Next Topic » |





![]](http://b2.ifrm.com/28122/87/0/p701956/pipright.png)











) was performed.























I thought seasons change the food availabilty, and your previous information confirms that. For example weakened males by rut during certain seasons, young herbivores in spring. The different nutritional needs I also read in your previous information, but if I hadn't read it I had no clue.
2:20 AM Jul 14